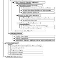
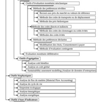
Evaluation et représentation des enjeux environnementaux dans une perspective de transitions écologique et énergétique
Contenu
- Titre
- Evaluation et représentation des enjeux environnementaux dans une perspective de transitions écologique et énergétique
- Date de soumission
- 20 août 2020 à 05:55:13 +00:00
- Date de création
- 19 août 2020 à 06:08:15 +00:00
- is compiled by
- Lucky Semiosis
- serverStatus
- 200
- Complexité
-
2,211
- Date de modification
- 8 septembre 2023 à 06:21:04 +00:00
- Détails de la complexité
- Physique,1,,,,,361,361
- Physique,2,,,,,109,218
- Actant,2,,,,,1,2
- Concept,1,,,,,360,360
- Concept,2,,,,,84,168
- Rapport,1,1,Physique,Concept,properties,360,360
- Rapport,1,1,Physique,Physique,values,360,360
- Rapport,1,1,Physique,Actant,cito:isCompiledBy,1,1
- Rapport,2,2,Actant,Concept,properties,4,8
- Rapport,2,2,Actant,Physique,values,4,8
- Rapport,1,1,Physique,Concept,skos:semanticRelation,5,5
- Rapport,2,2,Concept,Concept,properties,15,30
- Rapport,2,2,Concept,Physique,values,15,30
- Rapport,1,1,Physique,Physique,media,30,30
- Rapport,2,2,Physique,Concept,properties,60,120
- Rapport,2,2,Physique,Physique,values,60,120
- Rapport,1,1,Physique,Physique,uri,30,30
- Totaux de la complexité
- Physique,2,1,2,470,579
- Actant,1,2,2,1,2
- Concept,2,1,2,444,528
- Rapport,12,1,2,944,1102
- Existence,17,1,2,1859,2211
-
642
- Date de modification
- 8 janvier 2024 à 10:52:51 +00:00
- Détails de la complexité
- dimension,niv (sujet),niv objet,sujet,objet,prédicat,nb,c
- Physique,1,,,,,12,12
- Physique,2,,,,,98,196
- Actant,1,,,,,1,1
- Actant,2,,,,,1,2
- Concept,1,,,,,7,7
- Concept,2,,,,,63,126
- Rapport,1,1,Actant,Concept,properties,7,7
- Rapport,1,1,Actant,Physique,values,11,11
- Rapport,1,1,Actant,Physique,owner,1,1
- Rapport,2,1,Actant,Physique,oa:hasSource,5,10
- Rapport,2,2,Actant,Concept,properties,58,116
- Rapport,2,2,Actant,Physique,values,58,116
- Rapport,1,1,Actant,Actant,cito:isCompiledBy,1,1
- Rapport,1,1,Actant,Concept,skos:semanticRelation,5,5
- Rapport,1,1,Actant,Physique,media,30,30
- Rapport,1,1,Actant,Physique,uri,1,1
- Totaux de la complexité
- Physique,2,1,2,110,208
- Actant,2,1,2,2,3
- Concept,2,1,2,70,133
- Rapport,10,1,2,177,298
- Existence,16,1,2,359,642,
-
640
- Date de modification
- 9 janvier 2024 à 13:31:24 +00:00
- Détails de la complexité
- dimension,niv (sujet),niv objet,sujet,objet,prédicat,nb,c
- Physique,1,,,,,12,12
- Physique,2,,,,,98,196
- Actant,2,,,,,1,2
- Concept,1,,,,,7,7
- Concept,2,,,,,63,126
- Rapport,1,1,Actant,Concept,properties,7,7
- Rapport,1,1,Actant,Physique,values,11,11
- Rapport,2,1,Actant,Physique,oa:hasSource,5,10
- Rapport,2,2,Actant,Concept,properties,58,116
- Rapport,2,2,Actant,Physique,values,58,116
- Rapport,1,1,Actant,Actant,cito:isCompiledBy,1,1
- Rapport,1,1,Actant,Concept,skos:semanticRelation,5,5
- Rapport,1,1,Actant,Physique,media,30,30
- Rapport,1,1,Actant,Physique,uri,1,1
- Totaux de la complexité
- Physique,2,1,2,110,208
- Actant,1,2,2,1,2
- Concept,2,1,2,70,133
- Rapport,9,1,2,176,297
- Existence,14,1,2,357,640,
- Collections
- DIIGO
- Médias
Evaluation et représentation des enjeux environnementaux dans une perspective de transitions écologique et énergétique
Evaluation et représentation des enjeux environnementaux dans une perspective de transitions écologique et énergétique
Evaluation et représentation des enjeux environnementaux dans une perspective de transitions écologique et énergétique
Evaluation et représentation des enjeux environnementaux dans une perspective de transitions écologique et énergétique
Evaluation et représentation des enjeux environnementaux dans une perspective de transitions écologique et énergétique
Evaluation et représentation des enjeux environnementaux dans une perspective de transitions écologique et énergétique
Evaluation et représentation des enjeux environnementaux dans une perspective de transitions écologique et énergétique
Evaluation et représentation des enjeux environnementaux dans une perspective de transitions écologique et énergétique
Evaluation et représentation des enjeux environnementaux dans une perspective de transitions écologique et énergétique
Evaluation et représentation des enjeux environnementaux dans une perspective de transitions écologique et énergétique
Evaluation et représentation des enjeux environnementaux dans une perspective de transitions écologique et énergétique
Evaluation et représentation des enjeux environnementaux dans une perspective de transitions écologique et énergétique
Evaluation et représentation des enjeux environnementaux dans une perspective de transitions écologique et énergétique
Evaluation et représentation des enjeux environnementaux dans une perspective de transitions écologique et énergétique
Evaluation et représentation des enjeux environnementaux dans une perspective de transitions écologique et énergétique
Evaluation et représentation des enjeux environnementaux dans une perspective de transitions écologique et énergétique
Evaluation et représentation des enjeux environnementaux dans une perspective de transitions écologique et énergétique
Evaluation et représentation des enjeux environnementaux dans une perspective de transitions écologique et énergétique
Evaluation et représentation des enjeux environnementaux dans une perspective de transitions écologique et énergétique
Evaluation et représentation des enjeux environnementaux dans une perspective de transitions écologique et énergétique
Evaluation et représentation des enjeux environnementaux dans une perspective de transitions écologique et énergétique
Evaluation et représentation des enjeux environnementaux dans une perspective de transitions écologique et énergétique
Evaluation et représentation des enjeux environnementaux dans une perspective de transitions écologique et énergétique
Evaluation et représentation des enjeux environnementaux dans une perspective de transitions écologique et énergétique
Evaluation et représentation des enjeux environnementaux dans une perspective de transitions écologique et énergétique
Evaluation et représentation des enjeux environnementaux dans une perspective de transitions écologique et énergétique
Evaluation et représentation des enjeux environnementaux dans une perspective de transitions écologique et énergétique
Evaluation et représentation des enjeux environnementaux dans une perspective de transitions écologique et énergétique
Evaluation et représentation des enjeux environnementaux dans une perspective de transitions écologique et énergétique
Evaluation et représentation des enjeux environnementaux dans une perspective de transitions écologique et énergétique
Annotations
| Valeur | Purpose |
|---|---|
|
Lucky Semiosis a taggé le document Evaluation et représentation des enjeux environnementaux dans une perspective de transitions écologique et énergétique avec le tag HDR
|
| Target selector | Selector type |
|---|---|
| Valeur | Purpose |
|---|---|
|
Lucky Semiosis a taggé le document Evaluation et représentation des enjeux environnementaux dans une perspective de transitions écologique et énergétique avec le tag métrologie
|
| Target selector | Selector type |
|---|---|
| Valeur | Purpose |
|---|---|
|
Lucky Semiosis a taggé le document Evaluation et représentation des enjeux environnementaux dans une perspective de transitions écologique et énergétique avec le tag Environnement
|
| Target selector | Selector type |
|---|---|
| Valeur | Purpose |
|---|---|
|
Lucky Semiosis a taggé le document Evaluation et représentation des enjeux environnementaux dans une perspective de transitions écologique et énergétique avec le tag outils
|
| Target selector | Selector type |
|---|---|
| Valeur | Purpose |
|---|---|
|
Lucky Semiosis a taggé le document Evaluation et représentation des enjeux environnementaux dans une perspective de transitions écologique et énergétique avec le tag méthode
|
| Target selector | Selector type |
|---|---|





























